E-413.2 - E-413.6 Multi-Channel Piezo Amplifier
For Piezo Tubes and PICA Shear Actuators
- Low-noise piezo amplifier
- Peak power up to 50 W
- Bipolar operation
- Output voltage -250 to 250 V
- Ideally adapted for scanner tubes
- Output voltage monitoring
Piezo tube ("scanner tube") control
Depending on the version, the E-413 amplifier can control a piezo tube in two or three directions of motion. The possible directions of motion of a piezo tube depend on the number of its electrode segments.
Control of up to six piezo actuators
The amplifier is also available as a version for controlling up to six individual piezo actuators with bipolar operating voltage such as PICA Shear or Picoactuator®.
Voltage range and control signal
Low noise and precision in static and dynamic operation. Peak currents up to 100 mA per channel at -250 to +250 V. Output voltage control via analog input signal -10 to +10 V with gain value of 25. Control signal generation possible with PC via D/A converter and PI driver set for use with NI LabVIEW software.
Interfaces
Control signals, monitor signals: SMB. Voltage outputs: D-sub 15 (f)
Scope of delivery
Delivery includes 24 V wide input range power supply.
Specifications
Specifications
Amplifier | E-413.30 / .20 | E-413.61 / .41 |
|---|---|---|
Input voltage range | -10 to 10 V | -10 to 10 V |
Output voltage | -250 to 250 V Inverted output: 250 to -250 V | -250 to 250 V |
Output voltage monitoring | -2.5 to 2.5 V Inverted output: 2.5 to -2.5 V | -2.5 to 2.5 V |
Peak output power/output (<1 ms) | 50 W | 50 W |
Average output power/output | >10 W | >10 W |
Peak current/output (<1 ms) | 100 mA | 100 mA |
Average output current/output | >20 mA | >20 mA |
Current limitation | Short-circuit proof | Short-circuit proof |
Voltage gain | 25 ±0.1 Inverted output: -25 ±0.1 | 25 ±0.1 |
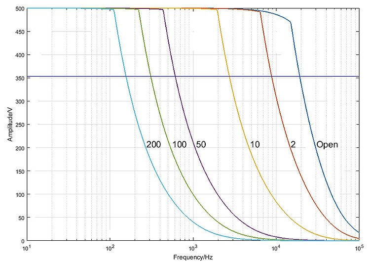
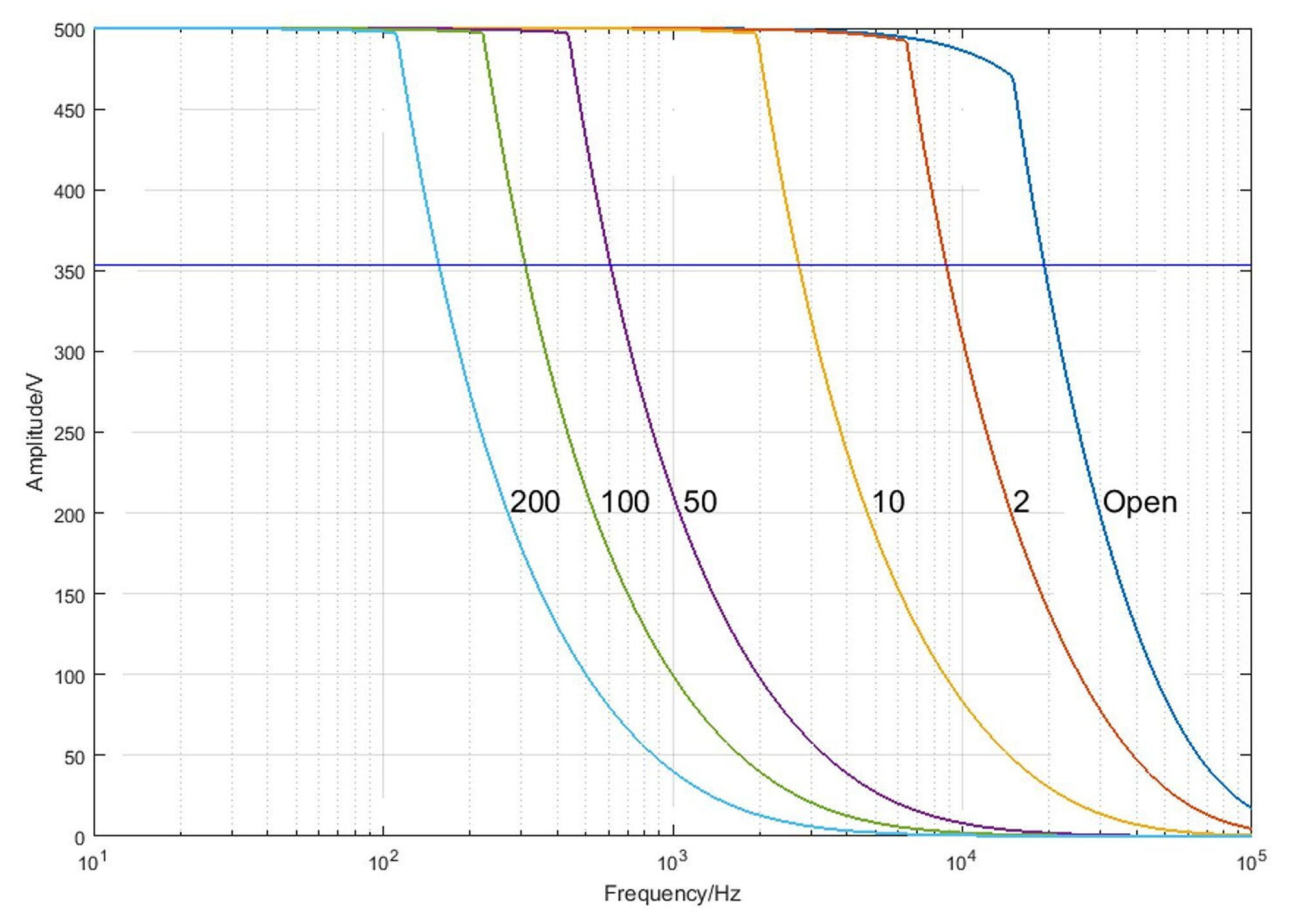
Bandwidth, small signal | ≥20 kHz | ≥20 kHz |
Ripple, noise, 0 to 10 kHz | <1 mVrms 5 mVpp <200 µVrms at <10 kHz bandwidth, 100 nF actuator load at the output | <1 mVrms 5 mVpp <200 µVrms at <10 kHz bandwidth, 100 nF actuator load at the output |
Capacitive base load (internal) | 2 nF | 2 nF |
Sensible external actuator capacity | >2 nF | >2 nF |
Output impedance | 1 kΩ, 2 nF | 1 kΩ, 2 nF |
Input impedance | 100 kΩ | 100 kΩ |
Downloads
Datasheet
Documentation
User Manual PZ296
E-413.30, .20, .6x, .4x Piezo Amplifier
Quote / Order
Ask for a free quote on quantities required, prices, and lead times or describe your desired modification.











