Miniature hexapod; BLDC motor; 5 kg payload; 20 mm/s maximum velocity; 0.5 m cable length. Connecting cables are not included in the scope of delivery and must be ordered separately.
H-811.I2 Miniature Hexapod
Fast, Compact, and Highly Precise
- Travel ranges to ±17 mm / ±21°
- Payload to 5 kg
- Repeatability to ±0.06 µm
- Velocity to 20 mm/s
- Vacuum model available







Application fields
Thanks to its small footprint and its proven reliability in applications with high numbers of cycles, the H-811 is typically employed in photonics and in precision assembly. In such areas, it contributes to boosting the productivity of complex manufacturing processes and measuring procedures.
High dynamics combined with extreme reliability
The parallel-kinematic arrangement enables the hexapod to perform motion in 6 axes in an extremely compact design. Thanks to the use of brushless DC motors and its stiff mechanical design, the H-811 offers the dynamics required for active alignment applications, even if external interference (e.g., in the case of gluing processes) occurs. Extensive software tools provide support by simplifying the system tuning and making automatic routines available for alignment to an external analog control signal.
Motion simulation for protecting the overall system
The PIVirtualMove software, which can be downloaded free of charge, simulates the travel range, the alignment, and the permissible forces and torques of the H-811 to facilitate an optimum system configuration. In this context, both the chosen center of rotation and the center of gravity of the load are taken into consideration.
Work and tool coordinate systems and an emulation tool are included in the free software package belonging to the scope of delivery of the hexapod controller. The tools provided help to protect critical components such as optical or photonic parts.
Specifications
Specifications
| Motion | H-811.I2 | Tolerance | 
|---|---|---|
| Active axes | X ǀ Y ǀ Z ǀ θX ǀ θY ǀ θZ | |
| Travel range in X | ± 17 mm | |
| Travel range in Y | ± 16 mm | |
| Travel range in Z | ± 6.5 mm | |
| Rotation range in θX | ± 10 ° | |
| Rotation range in θY | ± 10 ° | |
| Rotation range in θZ | ± 21 ° | |
| Maximum velocity in X | 20 mm/s | |
| Recommended velocity in X | 10 mm/s | |
| Maximum velocity in Y | 20 mm/s | |
| Recommended velocity in Y | 10 mm/s | |
| Maximum velocity in Z | 20 mm/s | |
| Recommended velocity in Z | 10 mm/s | |
| Maximum angular velocity in θX | 500 mrad/s | |
| Recommended angular velocity in θX | 250 mrad/s | |
| Maximum angular velocity in θY | 500 mrad/s | |
| Recommended angular velocity in θY | 250 mrad/s | |
| Maximum angular velocity in θZ | 500 mrad/s | |
| Recommended angular velocity in θZ | 250 mrad/s | |
| Positioning | H-811.I2 | Tolerance | 
| Minimum incremental motion in X | 0.2 µm | typ. | 
| Minimum incremental motion in Y | 0.2 µm | typ. | 
| Minimum incremental motion in Z | 0.08 µm | typ. | 
| Minimum incremental motion in θX | 2.5 µrad | typ. | 
| Minimum incremental motion in θY | 2.5 µrad | typ. | 
| Minimum incremental motion in θZ | 5 µrad | typ. | 
| Unidirectional repeatability in X | ± 0.15 µm | typ. | 
| Unidirectional repeatability in Y | ± 0.15 µm | typ. | 
| Unidirectional repeatability in Z | ± 0.06 µm | typ. | 
| Unidirectional repeatability in θX | ± 2 µrad | typ. | 
| Unidirectional repeatability in θY | ± 2 µrad | typ. | 
| Unidirectional repeatability in θZ | ± 3 µrad | typ. | 
| Backlash in X | 0.2 µm | typ. | 
| Backlash in Y | 0.2 µm | typ. | 
| Backlash in Z | 0.06 µm | typ. | 
| Backlash in θX | 2 µrad | typ. | 
| Backlash in θY | 2 µrad | typ. | 
| Backlash in θZ | 4 µrad | typ. | 
| Drive Properties | H-811.I2 | Tolerance | 
| Drive type | Brushless DC motor | |
| Mechanical Properties | H-811.I2 | Tolerance | 
| Stiffness in X | 0.7 N/µm | |
| Stiffness in Y | 0.7 N/µm | |
| Stiffness in Z | 8 N/µm | |
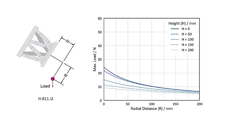
| Maximum load capacity, base plate in any orientation | 2.5 kg | |
| Maximum load capacity, base plate horizontal | 5 kg | |
| Maximum holding force, base plate in any orientation | 2.5 N | |
| Maximum holding force, base plate horizontal | 15 N | |
| Overall mass | 2.2 kg | |
| Material | Stainless steel, aluminum | |
| Miscellaneous | H-811.I2 | Tolerance | 
| Operating temperature range | 0 to 50 °C | |
| Connector for data transmission | HD D-sub 78 (m) | |
| Connector for supply voltage | M12 4-pole (m) | |
| Cable length | 0.5 m | |
| Outer diameter power supply cable | 4.95 mm | |
| Minimum bending radius for fixed installation, power supply | 25 mm | |
| Outer diameter data transmission cable | 9.5 mm | |
| Minimum bending radius for fixed installation, data transmission | 95 mm | |
| Recommended controllers/drivers | C-887.5x | 
The cables fixed to the H-811.I2 are 0.5 m long respectively.
The cables fixed to the H-811.I2 are not drag chain compatible.
Connecting cables are not included in the scope of delivery and must be ordered separately.
Ask about customized versions.
When measuring position specifications, typical velocity is used. The data is included in the delivery of the product in the form of a measurement report and is stored at PI.
The maximum travel ranges of the individual coordinates (X, Y, Z, θX, θY, θZ) are interdependent. The data for each axis shows its maximum travel range when all other axes are in the zero position of the nominal travel range and the default coordinate system is in use, or rather when the pivot point is set to 0,0,0.
At PI, technical data is specified at 22 ±3 °C. Unless otherwise stated, the values are for unloaded conditions. Some properties are interdependent. The designation "typ." indicates a statistical average for a property; it does not indicate a guaranteed value for every product supplied. During the final inspection of a product, only selected properties are analyzed, not all. Please note that some product characteristics may deteriorate with increasing operating time.
Downloads
Product Note
Product Change Notification Hexapod Cables
Product Change Notification Motor Driven Products
Product Change Notification H-811 Series
Product Change Notification H-811 Vent Holes
Product Change Notification H-811.D2, H-811.D11, H-811.D12
Datasheet
Documentation
User Manual MS235
H-811 Miniature Hexapods
Technical Note H811T0001
Technical note for unpacking the hexapod
3D Models
H-811.I2 3D Model
Software Files
PIVirtualMove
Ask for a free quote on quantities required, prices, and lead times or describe your desired modification.
How to Get a Quote

Ask an engineer!
Quickly receive an answer to your question by email or phone from a local PI sales engineer.
Technology

Active Alignment
The need to align devices down to nanoscale accuracy is arising in many fields. Optical components such as the lenses or lens assemblies in small cameras, or even the CCD chip itself, need to be positioned with ever more precision.

EtherCAT Connectivity of PI Products
PI offers high-precision drives for use as EtherCAT slave, or integrates with ACS Motion Controllers as Master, or 2nd Master in an existing architecture.

Hexapods and SpaceFAB
Hexapods are systems for moving and positioning loads in six degrees of freedom, in three translational and three rotational axes.
Applications

SiPh Testing, Assembly, and Packaging
When it comes to throughput and production costs in testing, assembling, and packaging of photonic devices, alignment is one of the most significant cost factors. For maximum performance, the optimal combination of accuracy, speed, and intelligent automation is needed.

Sample Adjustment
At Diamond Light Source, UK, beamline I07 is a high-resolution X-ray diffraction beamline dedicated to investigate the structure of surfaces and interfaces.

High Vacuum Positioning
Investigation of the structural properties of thin films under high-vacuum conditions.

Nanotomography
At the X-ray light source PETRA III at the DESY research center in Hamburg operates the Imaging Beamline P05.

Hexapods in Microproduction
What do optical components and glass fibers in photonics, mobile devices, and high-quality wristwatches all have in common?

Dimensional Measuring
Hexapods allow for an outstanding flexibility for a variety of samples of in-line automation systems by minimizing the space for motion robotics.

























